xm外汇新闻:伊朗:以色列将“付出代价”!胡塞武装再次警告美国!红海危机扰动消退,油价承压下行
期货日报
大家早上好,来看下热点消息。
胡塞武装再次警告美国不要插手红海事务
据央视新闻消息,当地时间24日,也门胡塞武装再次向美国发出警告,敦促其军事力量离开红海,不要插手该区域。胡塞武装军事发言人叶海亚当天谴责美国及其盟友正在将红海“军事化”,并“对国际海上航行构成威胁”。
近日,针对美方称正在组建所谓“红海护航联盟”、以保护经过红海的船只免受也门胡塞武装袭击的说法,胡塞武装领导人阿卜杜勒·马利克·胡塞发出警告称,如果美国对该武装组织发起军事行动,将对美国军舰和中东地区的利益机构发动袭击。
加沙爆发“反哈马斯骚乱”
据参考消息援引德新社12月24日报道,加沙南部24日爆发数十名巴勒斯坦人反对哈马斯的愤怒示威,此前哈马斯武装分子据称对一群试图搜集援助物资的年轻男性开枪。
报道称,目击者报告说埃及边境附近的拉法发生数十人的骚乱。
据称哈马斯武装分子开枪射击试图在没有得到哈马斯批准的情况下拿走人道主义援助物资的人,引发示威者的怒火。
报道说,由于以色列对加沙地带的封锁和长达数月的军事进攻,这个人口密集的沿海地区的人道主义局势正变得越来越像一场灾难。加沙有限的援助物资的分配有时会演变成抢夺和混乱场面。
报道还称,联合国安理会已经通过决议呼吁增加对加沙的人道主义援助,但以色列坚持监控运送物资以防止夹带武器。与此同时,以色列政府还坚称检查并未妨碍物资运送,并指责联合国救援机构未能恰当分配援助。但联合国官员说,战时条件和以色列的空袭使物品的运输和分配变得愈发困难。
伊朗伊斯兰革命卫队一成员遭袭身亡,伊朗总统莱希:以色列将“付出代价”
据央视新闻消息,当地时间12月25日,伊朗总统莱希就伊朗伊斯兰革命卫队驻叙利亚高级顾问赛义德·拉齐·穆萨维遇袭身亡一事表示,以色列将为此“付出代价”。
当天稍早前,伊朗伊斯兰革命卫队发表声明称,其驻叙利亚高级顾问赛义德·拉齐·穆萨维在以色列对叙利亚大马士革郊区的袭击中身亡。
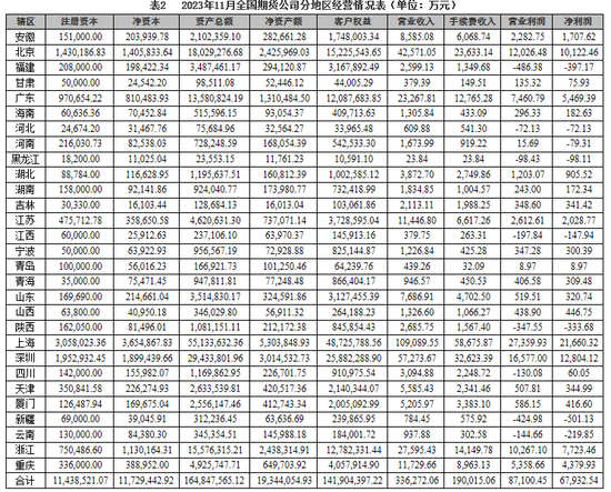
1—11月期货公司营业收入352.29亿元
中国期货业协会12月25日公布的数据显示,2023年11月,全国150家期货公司营业收入33.63亿元,环比增长36.37%,同比增长3.59%;净利润6.79亿元,环比增长88.67%,同比下降27.27%。2023年1—11月,全国150家期货公司营业收入352.29亿元,同比下降0.61%;净利润87.91亿元,同比下降7.73%。


红海危机扰动效应消退,油价承压下行
随着突发事件红海危机的扰动效应逐渐减弱,周一内盘包括原油在内的多个品种出现低开低走行情。其中,原油主力合约2402开盘后跳水超3%,随后跌幅逐渐收窄,最终收跌0.79%。
“周一亚洲盘时间内盘油价低开高走,主要驱动因素是市场对于红海航运受阻担忧的情绪略有缓解。市场风险偏好由此回落,集运指数与油价呈现同频共振。”光大期货研究所能化研究总监钟美燕表示。
申银万国期货能化高级分析师董超介绍,世界第二大集装箱航运公司马士基表示,由于多国海上特遣部队“繁荣卫士行动”将保护船只免受也门胡塞武装组织的袭击,该公司准备恢复红海航运,该公司表示正在计划让首批船只通过这条航线。因此,周一开盘后集运指数、原油、甲醇等很多和红海危机有关的品种都出现了下跌,前期地缘风险因素的消退让油价低开2%。
“在美国开始联合部分国家组成护卫队对船只进行护航后,24日晚马士基宣布开始考虑恢复部分红海的航线。但是经过航运组核算的保险价格后,我们认为可能马士基更倾向于对美国护航的回应,这是由于一艘船过红海的固定保险成本比绕行好望角更高。从盘面交易角度来看,这个消息市场还没有很完整的解读,所以相关品种的盘面情绪受到较大冲击。”海通期货原油分析师赵若晨表示。
此外,钟美燕表示,海外圣诞假期休市,外盘缺乏明显指引,市场再度振荡运行。不过,从价格的波动来看,前期航运影响已经在油价中有所计价,随着风险冲突可能缓和,油价涨速变缓或适当休整也在情理之中。
从国际原油的表现来看,此前连续两周收涨,显示市场情绪回暖。
对此,赵若晨认为,在宏观环境较为稳定的前提下,国际油价近期交易核心仍在基本面,减产给到的明年一季度去库的平衡表是油价能上涨的前提。此外,近期红海事件的爆发对油价也有利多影响。“我们看到,随着油价的回暖,原油市场月差小幅走强,布伦特月差重回back结构。从最新一期CFTC持仓报告来看,投机净多头寸也有所回归,石油市场情绪正在逐步回暖。”她说。
“从原油的价格形成逻辑来看,供应是较大的弹性变量,需求是慢变量,而航运是原油国际贸易中关注的另一个重要影响因子。近期巴以冲突的外溢导致红海局势升级,航运公司纷纷改道,造成原油运输成本上升、运输距离延长以及到岸延后。从时间节点来看,市场关注这一冲突演绎的剧烈程度和持续时间。目前来看,市场会给予原油一定的地缘风险溢价。但我们认为,目前原油对应的实质供应并未受到影响,只是航程增加导致海运端的不确定性增加。而一旦在多国的共同斡旋下矛盾有所缓解,供应又将重回稳定。与此同时,当下需求端的淡季效应仍在延续。因此,原油价格上行空间有限。”钟美燕表示。
在董超看来,当前国际油价的反弹有其特殊性,主要表现为三点:一是美联储近期表态相对“鸽派”,释放了明年可能三次降息的信号;二是红海的地缘危机增加了燃油需求以及原油的地缘风险溢价;三是前期原油连续下跌确实释放了大量的下跌动能,市场有反弹需求。但是董超表示,全球供需并没有改变,明年需求增速不足预期,在这一大背景下,目前的反弹大概率只是经济数据真空期的修复性反弹。
近期突发事件频发,如红海危机及安哥拉宣布退出OPEC,均对国际原油运行节奏产生影响。
赵若晨介绍,红海事件的爆发会因地缘政治风险走高而给予国际油价一定的溢价。这是由于也门胡塞组织对以色列船只的袭击或会影响临近红海的苏伊士运河,苏伊士运河作为世界最重要的海运枢纽之一,若受到地缘影响难以通行,将导致全球大量海运公司选择绕行好望角,从而导致运力供给阶段性短缺,其中俄罗斯、沙特和伊拉克的油品或受到影响。从最新消息来看,美国开始联合部分国家组成护卫队对船只进行护航,马士基宣布开始考虑恢复部分红海的航线。“但是我们核算保险价格后发现,红海的保险成本比绕行好望角更高。所以后续仍需关注海运公司的航行情况。”赵若晨说。
董超认为,红海局势的影响有其时效性,目前是圣诞海运旺季过后的淡季,同时也是船东与客户大规模签署长协订单的时节,船运价格飙升有过度反应的可能性。对原油而言,绕行好望角确实能增加需求,但增量有限且大概率无法长期持续。如果考虑到中东石油无法输送至地中海沿岸而转运亚洲的话,对上海油价更是有利空作用。因此不宜过分夸大这一效应。
此外,赵若晨表示,安哥拉退出OPEC也是近期较为重要的事件。这是由于OPEC+持续减产并且在产量配额方面内部矛盾扩大,而安哥拉的退出会使OPEC的话语权下降。目前,安哥拉是非洲第二大原油出口国,每天约出口110万桶原油,但是该国产量一直未达到OPEC的基准线,退出OPEC后或难以看到产量或出口量快速提升,短期对原油市场影响较为有限。市场可能更担忧其他国家是否会效仿安哥拉退出OPEC,目前看到OPEC产油国仍然是拥护减产协议的。
“后期来看,在整体一季度仍然去库的背景下,油价走势易涨难跌。”赵若晨表示。
在钟美燕看来,非洲产油国安哥拉宣布退出OPEC引发市场对于后续OPEC+联合减产凝聚力的担忧,按照11月底OPEC+的会议结论来看,2024年一季度仍是联合减产时间点,市场仍需关注自愿减产的力度以及后续减产联盟的走向。如果安哥拉“退群”不是单一事件,OPEC后续减产的力度可能减弱,令油价承压。她同样认为,在地缘因素助推下,油价易涨难跌,只是上涨的幅度和持续时间需要谨慎。
不过,从供求关系本身来看,董超表示,安哥拉的退出不会造成改变。其一,安哥拉目前的产量基本就是其生产配额上,OPEC并没有对其有过多的限制,只是影响了其后续可能存在的增产。其二,11月OPEC+会议后安哥拉就曾表示不会遵守减产协议对其原油产量的约束,现在只是相当于再次明确了而已。市场担心的是安哥拉的退出暴露了OPEC内部的不稳定,11月会议推行的是自愿减产制度,这对于一个垄断组织是掌控力下降的象征。后续需要关注尼日利亚和阿联酋的反应,这两个国家有可能是下一块“多米诺骨牌”。
基于此,董超认为,未来油价走势偏空,主要原因在于OPEC减产措施约束力及数额均较小,而全球经济在高利率环境影响下又相对悲观。
